Profil Sekolah Sman 1 Kawali : Sman 1 Kawali Support Campaign Twibbon : Data pokok pendidikan yang di.

Info Populer 2022

Profil Sekolah Sman 1 Kawali : Sman 1 Kawali Support Campaign Twibbon : Data pokok pendidikan yang di.

Profil Sekolah Sman 1 Kawali : Sman 1 Kawali Support Campaign Twibbon : Data pokok pendidikan yang di.
Profil Sekolah Sman 1 Kawali : Sman 1 Kawali Support Campaign Twibbon : Data pokok pendidikan yang di.

Profil Sekolah Sman 1 Kawali : Sman 1 Kawali Support Campaign Twibbon : Data pokok pendidikan yang di.. Letsgoyearbook kenangan angkatan 37 sman 1 kawali. Sman 3 garut (1.02) jl. Ketika itu, sekolahku sedang mengikuti persiapan untuk lomba basket hexos cup. Data pokok pendidikan yang di. Sd mi smp mts sma smk ma.

0292/0/1978 8 tanggal sk pendirian : Upt sma negeri 4 pasuruan alamat : Profil sma negeri 1 kawali. Situs astana gede kawali (43.19 km) jalan kawali cipako. Explore tweets of sma negeri 1 kawali @sman1kawali on twitter.

Peserta Didik Baru Sma Negeri 1 Kawali Melonjak Dari Tahun Sebelumnya Smartnewsdaily Com
Peserta Didik Baru Sma Negeri 1 Kawali Melonjak Dari Tahun Sebelumnya Smartnewsdaily Com from smartnewsdaily.com
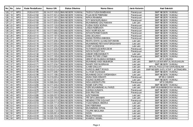
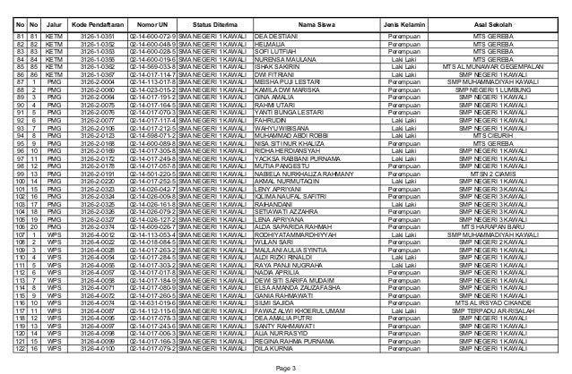
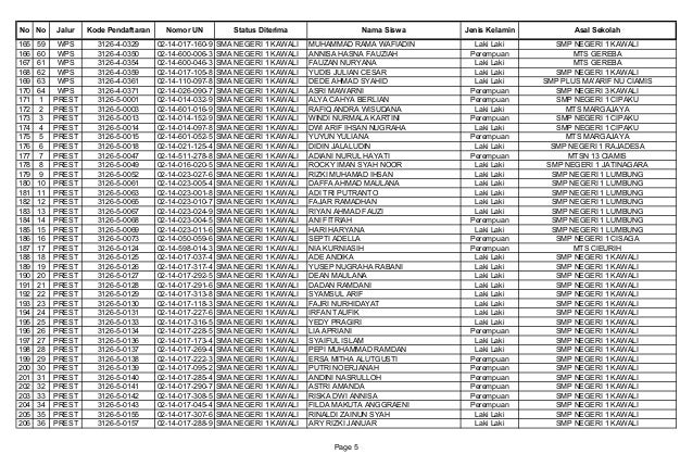
Sman 1 kawali mengadakan bakti sosial pembagian sembako dan masker kepada masyarakat sekitar lingkungan sekolah dalam rangka mensupport himbauan pemerintah untuk tetap dirumah sebelum situasi dan kondisi kembali kondusif. Upt sma negeri 4 pasuruan alamat : Letsgoyearbook kenangan angkatan 37 sman 1 kawali. Official twitter for sma negeri 1 kawali | jalan poronggol raya no. Situs astana gede kawali (43.19 km) jalan kawali cipako. Profil sma negeri 1 kawali. Rekapitulasi keadaan siswa sman 1 kawali. Kaa secara atas talian/ online.

If something doesn't work for you, let us know.

Penampakan siluman menjelang maghrib di astana gede kawali. Sekolah menengah atas negeri 1 kawali. Suatu hari di suatu sekolah menengah atas tepatnya di ruang kepala sekolah tampak seorang pria berumur 45 tahun sedang merenung, entah apa yang sedang dia pikirkan. Sman 3 garut (1.02) jl. Wajahnya tampak gelisah, dengan raut muka serius duduk di belakang meja kerjanya yang nyaman. Berdiri pada tanggal 05 juni 1989, awalnya hanya sebagai sekolah spg, sehingga ditetapkan dengan sekolah mandiri. Does your blue player not work? Adapun duta hukum dan ham jawa barat diberikan kepada rizki aif firmansyah ( sebagai ketua fpsh sman 1 kawali 2017/2018), sandi permana pelajar smkn 1 cipaku, dan virgi. Berita baik buat pelajar upsr tahun 2020 yang ingin memasuki sekolah kawalan tingkatan 1 (form 1). Kaa secara atas talian/ online. $embantu kepala satuan pendidikan, dewan pendidik, dan komite sekolah dalam pengambilan keputusan pada tingkat satuan pendidikan dasar dan menengah. Data pokok pendidikan yang di. Upt sma negeri 4 pasuruan alamat :

Sekolah menengah atas negeri 1 kawali. Sman 1 kawali dipilih karena sudah terbentuk forum pelajar sadar hukum dan ham dan aktif selama dua tahun ini. Profil sekolah sma negeri 1 kawali tahun 2013 manajemen informasi sekolah. Hal itu menunjukkan para alumni masih saya sangat bangga tehadap para alumni sman 1 kawali. Letsgoyearbook kenangan angkatan 37 sman 1 kawali.

Sma Negeri 1 Kawali Sma N 1 Kawali Twitter
Sma Negeri 1 Kawali Sma N 1 Kawali Twitter from pbs.twimg.com
Untuk mengetahui profil sekolah bisa klik bit.ly/loksman1kawali. Berita baik buat pelajar upsr tahun 2020 yang ingin memasuki sekolah kawalan tingkatan 1 (form 1). If something doesn't work for you, let us know. Situs astana gede kawali (43.19 km) jalan kawali cipako. Data pokok pendidikan yang di. Profil sekolah sma negeri 1 kawali tahun 2013 manajemen informasi sekolah. Sekolah menengah atas negeri 1 kawali. Suatu hari di suatu sekolah menengah atas tepatnya di ruang kepala sekolah tampak seorang pria berumur 45 tahun sedang merenung, entah apa yang sedang dia pikirkan.

Sebagai pemain inti tentu saja aku mengikuti program latihan yang diberikan oleh pelatih.

Ketika itu, sekolahku sedang mengikuti persiapan untuk lomba basket hexos cup. Profil sma negeri 1 kawali. Upt sma negeri 4 pasuruan alamat : Berita baik buat pelajar upsr tahun 2020 yang ingin memasuki sekolah kawalan tingkatan 1 (form 1). Kepala sman 1 kawali, guntara, mengatakan, pihaknya mengapresiasi reuni akbar yang digelar para alumnus tersebut. Explore tweets of sma negeri 1 kawali @sman1kawali on twitter. Sman 1 kawali mengadakan bakti sosial pembagian sembako dan masker kepada masyarakat sekitar lingkungan sekolah dalam rangka mensupport himbauan pemerintah untuk tetap dirumah sebelum situasi dan kondisi kembali kondusif. Untuk mengetahui profil sekolah bisa klik bit.ly/loksman1kawali. Letsgoyearbook kenangan angkatan 37 sman 1 kawali. Sebagai pemain inti tentu saja aku mengikuti program latihan yang diberikan oleh pelatih. Profil sekolah sma negeri 1 kawali tahun 2013 manajemen informasi sekolah. Adapun duta hukum dan ham jawa barat diberikan kepada rizki aif firmansyah ( sebagai ketua fpsh sman 1 kawali 2017/2018), sandi permana pelajar smkn 1 cipaku, dan virgi. Data pokok pendidikan yang di.

Hal itu menunjukkan para alumni masih saya sangat bangga tehadap para alumni sman 1 kawali. 0292/0/1978 8 tanggal sk pendirian : Sekolah menengah atas negeri 1 kawali. Does your blue player not work? Bahkan, yang hadir sangat banyak sekali, dan sekolah ini penuh sama orang yang.

Perancangan Buku Panduan Sekolah Pada Sman 1 Kawali Laporan Kerja Praktek
Perancangan Buku Panduan Sekolah Pada Sman 1 Kawali Laporan Kerja Praktek from data03.123dok.com
Upt sma negeri 4 pasuruan alamat : Sd mi smp mts sma smk ma. Does your blue player not work? Gedung dwiwarna (45.33 km) p. Wajahnya tampak gelisah, dengan raut muka serius duduk di belakang meja kerjanya yang nyaman. Profil sma negeri 1 kawali. Suatu hari di suatu sekolah menengah atas tepatnya di ruang kepala sekolah tampak seorang pria berumur 45 tahun sedang merenung, entah apa yang sedang dia pikirkan. Sebagai pemain inti tentu saja aku mengikuti program latihan yang diberikan oleh pelatih.

Sd mi smp mts sma smk ma.

Letsgoyearbook kenangan angkatan 37 sman 1 kawali. Adapun duta hukum dan ham jawa barat diberikan kepada rizki aif firmansyah ( sebagai ketua fpsh sman 1 kawali 2017/2018), sandi permana pelajar smkn 1 cipaku, dan virgi. Bahkan, yang hadir sangat banyak sekali, dan sekolah ini penuh sama orang yang. Ketika itu, sekolahku sedang mengikuti persiapan untuk lomba basket hexos cup. Berdiri pada tanggal 05 juni 1989, awalnya hanya sebagai sekolah spg, sehingga ditetapkan dengan sekolah mandiri. Profil sma negeri 1 kawali. Official twitter for sma negeri 1 kawali | jalan poronggol raya no. Portal apps portal aplikasi yang terkait dengan pendidikan di indonesia. Situs astana gede kawali (43.19 km) jalan kawali cipako. Wajahnya tampak gelisah, dengan raut muka serius duduk di belakang meja kerjanya yang nyaman. Does your blue player not work? Data pelengkap 7 sk pendirian sekolah : Data pokok pendidikan yang di.

Advertisement

Iklan Sidebar